Để tính NPV trong excel, bạn sử dụng cú pháp =NPV(rate, value1, [value2],…). Hàm NPV giả định rằng các dòng tiền phát sinh đều đặn theo từng kỳ (ví dụ: cuối mỗi năm, cuối mỗi quý) và chỉ sử dụng một tỷ lệ chiết khấu duy nhất.
Các bước tính NPV trong excel
- Nhập dữ liệu: tỷ lệ chiết khấu, và dòng tiền qua các kỳ
- Áp dụng cú pháp : =NPV(rate, value1, [value2],…) ví dụ: =NPV(12%,B2:B8)
- Trừ khoản đầu tư ban đầu: Lấy kết quả từ bước 2 trừ chi phí ban đầu
Phần dưới đây, ketoan.vn sẽ giải thích chi tiết về NPV và hướng dẫn cách tính NPV trong Excel kèm ví dụ thực tế.
1. NPV là gì?
NPV (Net Present Value), hay Giá trị hiện tại thuần, là chỉ số dùng để đánh giá mức độ hấp dẫn của một dự án đầu tư. Hiểu một cách đơn giản, NPV tính toán sự chênh lệch giữa tổng giá trị hiện tại của các dòng tiền bạn sẽ nhận được trong tương lai và số vốn đầu tư bạn bỏ ra ban đầu.
- Giá trị hiện tại là gì? Một đồng bạn nhận được trong tương lai sẽ không có giá trị bằng một đồng bạn có ngay bây giờ, do lạm phát và chi phí cơ hội (bạn có thể dùng tiền đó để đầu tư vào việc khác và sinh lời). Vì vậy, chúng ta cần “quy đổi” (chiết khấu) tất cả các khoản tiền trong tương lai về giá trị của nó ở thời điểm hiện tại.
Ví dụ dễ hình dung:
Giả sử bạn bỏ ra 100 triệu đồng hôm nay để mở một quán cà phê. Bạn dự kiến mỗi năm sau đó sẽ thu về lợi nhuận (sau khi trừ hết chi phí) lần lượt là 30, 40, 50 triệu. NPV sẽ giúp bạn trả lời câu hỏi: “Tổng cộng 3 khoản tiền 30, 40, 50 triệu trong tương lai đó, sau khi quy về giá trị hiện tại, có lớn hơn 100 triệu đồng vốn ban đầu hay không?”.
2. Công thức tính và Ý nghĩa của NPV
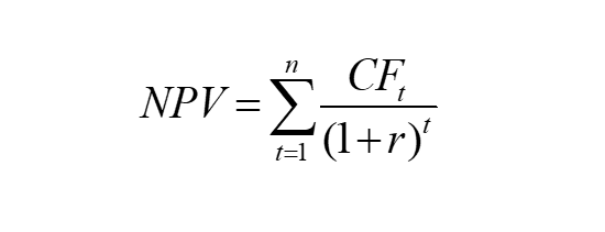
NPV bằng tổng từ t bằng 1 đến n của dòng tiền tại thời điểm t chia cho (1 cộng r) mũ t. Công thức tính NPV trong toán học như sau:

Trong đó:
- C0 : Vốn đầu tư ban đầu (thường là một số âm)
- CFt : Dòng tiền ròng (thu – chi (thu trừ chi) tại thời điểm t
- r: Tỷ lệ chiết khấu (lãi suất mong muốn, chi phí sử dụng vốn).
- n: Tổng số kỳ (thường là năm).
- t: Kỳ hiện tại (năm thứ 1, 2, 3…)
Ý nghĩa của NPV
| Kết quả | Ý nghĩa | Quyết định |
| NPV > 0 | Dự án tạo ra giá trị, lợi nhuận vượt mức lãi suất mong muốn. | Nên đầu tư. |
| NPV < 0 | Dự án làm mất giá trị, lợi nhuận thấp hơn mức lãi suất mong muốn. | Không nên đầu tư. |
| NPV = 0 | Dự án hòa vốn, lợi nhuận đúng bằng mức lãi suất mong muốn. | Cân nhắc (có thể đầu tư nếu có các lợi ích phi tài chính khác). |
3. Cách sử dụng hàm tính NPV trong Excel
3.1. Cú pháp hàm tính NPV trong Exel
Excel cung cấp hàm NPV để giúp bạn tính toán một cách nhanh chóng. Tuy nhiên, có một điểm “bẫy” quan trọng mà rất nhiều người mắc phải, chúng ta sẽ làm rõ ngay sau đây.
Cú pháp hàm tính NPV trong Excel:
=NPV(rate, value1, [value2], ...)
Giải thích các thành phần:
rate(bắt buộc): Tỷ lệ chiết khấu cho mỗi kỳ. Đây chính là biến r trong công thức toán học.value1,[value2], … (bắt buộc chovalue1): Là các dòng tiền phát sinh trong tương lai. Bạn có thể nhập từng giá trị hoặc một vùng dữ liệu chứa các dòng tiền (ví dụ: C2:C6).
LƯU Ý CỰC KỲ QUAN TRỌNG: Hàm NPV trong Excel mặc định tính toán giá trị hiện tại của dòng tiền bắt đầu từ cuối kỳ thứ nhất (cuối năm 1). Nó KHÔNG BAO GỒM chi phí đầu tư ban đầu (năm 0).
Do đó, công thức tính NPV chính xác trong Excel phải là:
=NPV(rate, Vùng_dòng_tiền_tương_lai) + Chi_phí_đầu_tư_ban_đầu
(Vì chi phí đầu tư ban đầu là số âm, nên thực chất đây là phép trừ).
3.2. Cách tính NPV trong Excel khi dòng tiền phát sinh ở cuối kỳ 1
Đây là trường hợp phổ biến nhất. Ví dụ: Một công ty đang xem xét đầu tư vào một dây chuyền sản xuất mới với các thông tin sau:
- Chi phí đầu tư ban đầu (Năm 0): 1.000.000.000 VNĐ
- Dòng tiền ròng dự kiến trong 5 năm tới (cuối mỗi năm): 200tr, 300tr, 400tr, 400tr, 500tr.
- Tỷ lệ chiết khấu: 12%/năm.

Giải thích công thức:
NPV(B8, B3:B7): Tính tổng giá trị hiện tại của các dòng tiền từ năm 1 đến năm 5 (vùng B3:B7) với tỷ lệ chiết khấu là 12% (B8).+ B2: Cộng với chi phí đầu tư ban đầu ở năm 0 (ô B2, đang là số âm).
Kết quả: 240.362.350 VNĐ. Vì NPV > 0, dự án này khả thi về mặt tài chính.
3.3. Cách tính NPV trong Excel khi dòng tiền phát sinh ở đầu kỳ 1
Trường hợp này ít phổ biến hơn, “Dòng tiền phát sinh ở đầu kỳ 1” có nghĩa là bạn được nhận tiền vào ngay khi bạn chi ra
Ví dụ: Hãy tưởng tượng bạn ký hợp đồng đầu tư một dự án vào ngày 01/01/2025:
- Bạn phải chuyển khoản 1 tỷ đồng chi phí đầu tư ngay trong ngày hôm đó (dòng tiền ra ở Năm 0).
- Trong hợp đồng, đối tác sẽ trả trước cho bạn 200 triệu đồng ngay sau khi ký (dòng tiền vào ở Năm 0).
Như vậy, dòng tiền ròng thực tế tại Năm 0 của bạn là:
-1.000.000.000 (chi ra) + 200.000.000 (thu vào) = -800.000.000 VNĐ
Ví dụ và hướng dẫn cách tính NPV trong Excel khi dòng tiền xảy ra ở đầu kỳ 1:

Logic mới:
- Dòng tiền ở ô B3 (200 triệu) bây giờ được coi là xảy ra ở Năm 0.
- Các dòng tiền còn lại từ B4 đến B7 sẽ được tính là dòng tiền tương lai, bắt đầu từ cuối Năm 1, cuối Năm 2,…
Tại ô B9 bạn nhập Công thức tính NPV trong excel:
=NPV(B8, B4:B7) + B2 + B3
Giải thích công thức một cách dễ hiểu:
- NPV(B8, B4:B7): Phần này chỉ dùng để tính giá trị hiện tại của các dòng tiền thực sự ở trong tương lai. Trong kịch bản này, các dòng tiền tương lai bắt đầu từ ô B4 (300 triệu) đến ô B7 (500 triệu).
- + B2: Cộng trực tiếp chi phí đầu tư ban đầu (-1.000.000.000), vì nó đã ở Năm 0.
- + B3: Cộng trực tiếp dòng tiền đầu tiên (200.000.000), vì nó cũng được nhận ngay ở Năm 0.
Kết quả: NPV = 389.205.832 NPV cao hơn đáng kể so với trường hợp dòng tiền cuối kỳ (240.362.350), vì việc nhận được tiền sớm hơn sẽ có giá trị hơn.
3.4. Cách tính NPV trong Excel và so sánh các dự án
NPV là công cụ tuyệt vời để lựa chọn giữa nhiều dự án loại trừ lẫn nhau (chỉ có thể chọn 1). Nguyên tắc rất đơn giản: Chọn dự án có NPV dương và cao nhất.
Ví dụ: Công ty có 2 dự án để lựa chọn, cùng chi phí đầu tư và tỷ lệ chiết khấu như bảng dưới đây

Tại ô B8, nhập cú pháp hàm tính NPV cho dự án 1: =NPV(B7, B3:B5) + B2
Giải thích:
- NPV(B7, B3:B5): Tính tổng giá trị hiện tại của các dòng tiền từ năm 1 đến năm 3 (vùng B3:B5) với tỷ lệ chiết khấu là 10% (ô B7).
- + B2: Cộng với chi phí đầu tư ban đầu ở năm 0 (ô B2).
Tại ô C8, nhập cú pháp hàm tính NPV cho dự án 2: =NPV(C7, C3:C5) + C2
Giải thích:
- NPV(C7, C3:C5): Tính tổng giá trị hiện tại của các dòng tiền từ năm 1 đến năm 3 (vùng C3:C5) với tỷ lệ chiết khấu là 10% (ô C7).
- + C2: Cộng với chi phí đầu tư ban đầu ở năm 0 (ô C2).
Kết quả:
- NPV dự án 1 = 10.518.407 VNĐ (Dương, dự án khả thi)
- NPV Dự án 2 = -36.814.425 VNĐ (Âm, dự án không khả thi).
=> Trong 2 dự án, nên chọn dự Án 1
4. Những lưu ý quan trọng khi tính NPV trong Excel
Để sử dụng hàm NPV một cách chính xác và hiệu quả, bạn cần nắm vững những lưu ý sau đây để tránh các sai lệch số liệu:
- Chú ý 1: Không đưa chi phí đầu tư ban đầu (Năm 0) vào trong hàm NPV
| Sai | =NPV(rate, B2:B7) |
| Đúng | =NPV(rate, B3:B7) + B2 |
Hàm NPV trong Excel được thiết kế để chiết khấu dòng tiền bắt đầu từ cuối kỳ thứ nhất (Năm 1). Nếu bạn đưa cả chi phí đầu tư ở Năm 0 (ô B2) vào trong hàm, Excel sẽ hiểu nhầm và chiết khấu cả khoản tiền đó về “Năm -1”, dẫn đến kết quả NPV bị thấp hơn thực tế và làm sai lệch quyết định đầu tư.
Ghi nhớ: Luôn luôn tách chi phí đầu tư ban đầu ra khỏi hàm NPV và cộng riêng nó vào cuối công thức.
- Chú ý 2: Phân biệt giữa hàm NPV và XNPV
Hàm NPV giả định rằng các dòng tiền phát sinh đều đặn theo từng kỳ (ví dụ: cuối mỗi năm, cuối mỗi quý). Tuy nhiên, trong thực tế, dòng tiền có thể phát sinh vào những ngày không định trước.
| Tiêu chí | NPV | XNPV |
| Khi nào dùng? | Khi các dòng tiền của bạn cách đều nhau (cuối mỗi năm, cuối mỗi tháng…). | Khi các dòng tiền phát sinh vào những ngày cụ thể, không đều nhau. Hàm XNPV yêu cầu bạn cung cấp một danh sách ngày tương ứng với mỗi dòng tiền và nó sẽ tự động tính toán chiết khấu một cách chính xác hơn. |
| Cú pháp XNPV | =NPV(rate, value1, [value2], ...) |
=XNPV(rate, values, dates) |
- Chú ý 3: Tầm quan trọng của việc chọn đúng Tỷ lệ chiết khấu (rate)
Tỷ lệ chiết khấu (rate) là yếu tố có ảnh hưởng lớn nhất đến kết quả NPV. Một thay đổi nhỏ trong tỷ lệ này có thể biến một dự án từ “khả thi” thành “không khả thi”. Tỷ lệ chiết khấu có thể là lãi suất vay vốn, chi phí sử dụng vốn bình quân (WACC) của công ty, hoặc tỷ suất lợi nhuận tối thiểu mà bạn yêu cầu dự án phải đạt được.
5. Giải đáp một số câu hỏi về hàm tính NPV trong Excel
Câu 1: Hàm NPV trong excel là gì?
Hàm NPV trong excel là một hàm excel dùng nhiều trong tài chính để tính toán giá trị hiện tại thuần (Net Present Value) của một khoản đầu tư, dựa trên một chuỗi các dòng tiền (thu nhập và chi phí) với các kỳ hạn đều đặn và một tỷ lệ chiết khấu. Dựa vào kết quả đó để đánh giá tính khả thi của một dự án.
Câu 2: Nếu dòng tiền hàng năm không đều (ví dụ: năm 1 là 200tr, năm 2 là 500tr) thì có dùng hàm NPV được không?
Trả lời: Hoàn toàn được. Hàm NPV được thiết kế để xử lý các dòng tiền không bằng nhau. Miễn là chúng xảy ra vào cuối mỗi kỳ đều đặn (cuối mỗi năm), bạn chỉ cần đưa chuỗi các giá trị đó vào hàm là được.
Câu 3: NPV có tính đến yếu tố lạm phát không?
Trả lời: Có, một cách gián tiếp. Lạm phát đã được phản ánh trong tỷ lệ chiết khấu (rate). Một tỷ lệ chiết khấu cao hơn thường bao gồm cả phần bù cho lạm phát dự kiến. Vì vậy, bạn không cần phải điều chỉnh dòng tiền theo lạm phát một lần nữa nếu đã có một tỷ lệ chiết khấu phù hợp.
Câu 4: Tại sao kết quả NPV của tôi khi tính bằng Excel lại khác khi tính tay?
Trả lời: Nguyên nhân phổ biến nhất là do sai lầm đã nêu ở Lưu ý 1. Rất có thể bạn đã đưa cả chi phí đầu tư ban đầu vào trong hàm NPV của Excel. Hãy kiểm tra lại công thức của bạn, đảm bảo rằng chi phí ở Năm 0 được cộng riêng ở bên ngoài.
Trên đây là cách tính NPV trong Excel. Mời bạn đọc tham khảo và áp dụng. Chúc các bạn thành công.
