Đầu tư thành công cần bắt nguồn từ các con số rõ ràng. Chỉ số NPV – Giá trị hiện tại thuần – Chính là chìa khóa giúp nhà đầu tư nhìn thấu tiềm năng lợi nhuận của dự án. Hãy cùng Kế Toán VN khám phá cách tính NPV đơn giản để biến dữ liệu thành các quyết định đầu tư thông minh!
1. NPV là gì?
Giá trị hiện tại thuần (NPV) là tổng giá trị hiện tại của dòng tiền dự kiến vào và ra của một dự án, được tính bằng cách chiết khấu các khoản thu nhập tương lai về hiện tại và trừ đi vốn đầu tư ban đầu.
Chỉ số NPV giúp đo lường lợi nhuận thực sự mà dự án mang lại sau khi đã tính đến yếu tố thời gian và rủi ro bằng cách áp dụng tỷ lệ chiết khấu phù hợp.
Hiểu sâu hơn về NPV như sau:
Với tài chính, giá trị hiện tại thuần (NPV) hoặc giá trị hiện tại ròng (NPW) của chuỗi thời gian các dòng tiền, gồm cả tiền vào và ra, được hiểu là tổng giá trị hiện tại (PV) của các dòng tiền cụ thể của cùng một dự án.
Nếu các luồng tiền trong tương lai đều là tiền vào (ví dụ như trái phiếu) và dòng tiền ra duy nhất là chi phí ban đầu thì NPV tính đơn giản bằng dòng tiền tương lai trừ đi giá mua.
NPV là công cụ trung tâm trong phân tích dòng tiền chiết khấu (DCF), và là phương pháp để sử dụng giá trị thời gian của tiền để thẩm định các dự án dài hạn.
Khi tính NPV của chuỗi dòng tiền, ta nhập vào các dòng tiền dự kiến và tỷ lệ chiết khấu ( hoặc đường cong giảm giá) để tính ra mức giá hay giá trị hiện tại. Trong phân tích dòng tiền chiết khấu (DCF), nếu ta biết chuỗi các dòng tiền và giá trị hiện tại của chúng thì ta có thể tính được tỷ lệ chiết khấu cần thiết để có mức giá đó – Tỷ lệ này được gọi là năng suất. Năng suất này rất quan trọng và được ứng dụng rộng trong kinh doanh trái phiếu đánh giá lợi suất đầu tư.
2. Công thức và cách tính NPV
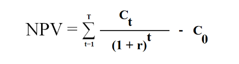
Giá trị hiện tại thuần NPV được tính bởi công thức sau:
Trong đó:
- Ct: Dòng tiền tính tới thời điểm t, bao gồm các khoản thu vào hoặc chi ra trong kỳ t.
- r: Tỷ lệ chiết khấu (hoặc tốc độ chiết khấu), là tỷ lệ phần trăm dùng để chiết khấu các dòng tiền tương lai về giá trị hiện tại.
- t: Thời gian thực hiện dự án, thực hiện bằng số kỳ mà dòng tiền được nhận.
- C0: Chi phí ban đầu.
Tác động của từng thành phần trong công thức NPV:
- Các dòng tiền Ct càng cao thì giá trị hiện tại của dự án càng cao. Nhưng vì giá trị của tiền giảm theo thời gian (do lãi suất và rủi ro) nên các dòng tiền xa hơn (t lớn hơn) sẽ có giá trị hiện tại thấp hơn khi được chiết khấu.
- Tỷ lệ chiết khấu r quyết định mức độ giảm giá của các dòng tiền trong tương lai. r càng cao thì giá trị hiện tại của dòng tiền giảm càng nhanh và ngược lại.
- Chi phí đầu tư ban đầu C0 là khoản chi phí được biểu diễn bằng số âm và được trừ đi sau khi cộng tất cả giá trị hiện tại của các dòng tiền tương lai.
Để tính chỉ số giá trị hiện tại thuần NPV, ta thực hiện theo các bước sau:
- Xác định dòng tiền dự kiến gồm: C0 (chi phí ban đầu) và C1, C2, C3,…Cn (dòng tiền dự kiến mang lại).
- Xác định tỷ lệ chiết khấu r, thường xác định bằng lãi suất thị trường, chi phí sử dụng vốn, rủi ro của dự án.
- Áp dụng công thức để tính NPV.
3. Ví dụ cách tính NPV trong thực tế
Giả sử công ty A đang cân nhắc việc đầu tư dây chuyền sản xuất với chi phí đầu tư ban đầu là 500 triệu VNĐ. Công ty muốn tính toán liệu rằng dự án này có đáng đầu tư không? Biết rằng:
Dự kiến, dự án sẽ tạo ra dòng tiền thu về trong 5 năm như sau:
- Năm 1 (C1): 150 triệu VND
- Năm 2 (C2): 180 triệu VND
- Năm 3 (C3): 200 triệu VND
- Năm 4 (C4): 220 triệu VND
- Năm 5 (C5): 250 triệu VND
Và tỷ lệ chiết khấu được lựa chọn là 12% (r = 0.12).
Cách tính NPV như sau:
Tính tổng giá trị hiện tại của các dòng tiền:
Tổng PV = PV1 + PV2 + PV3 + PV4 + PV5
Tổng PV = 150/(1+0.12)^1 + 180/(1+0.12)^2 + 200/(1+0.12)^3 + 220/(1+0.12)^4 + 250/(1+0.12)^5
=> Tổng PV = 701.22 triệu VNĐ.
Tính NPV dựa trên công thức:
NPV = Tổng PV – Vốn đầu tư ban đầu
NPV = 701.22 – 500 = +201.22 triệu VNĐ
Vậy với NPV dương (+201.22 triệu VND), dự án mở rộng dây chuyền sản xuất của công ty A cho thấy khả năng tạo giá trị tăng vượt trội so với vốn ban đầu. Do đó, đây là một chỉ số tích cực giúp công ty căn cứ để ra quyết định đầu tư.
4. Ý nghĩa kết quả chỉ số NPV
Khi tính chỉ số NPV của dự án sẽ xảy ra 3 trường hợp sau:
- NPV > 0: cho thấy dự án khả thi và có lời.
- NPV < 0: cho thấy dự án không khả thi và không có lời.
- NPV = 0: cho thấy dự án huề vốn, có thể cân nhắc đầu tư hoặc không.
Chỉ số NPV thường được các nhà đầu tư, doanh nghiệp sử dụng để xem xét:
- Đánh giá khả năng sinh lời của một dự án, danh mục đầu tư hay cổ phiếu,…
- Phản ánh giá trị thời gian của tiền.
- Đánh giá rủi ro và chi phí sử dụng vốn.
- So sánh các dự án để ra quyết định đầu tư.
5. Nhược điểm và lưu ý khi sử dụng chỉ số NPV
Chỉ số NPV rất mạnh mẽ nhưng cũng có những nhược điểm và lưu ý quan trọng mà nhà đầu từ và doanh nghiệp cần nắm:
- Chỉ số NPV phụ thuộc vào dự báo dòng tiền tương lai. Nên nếu dự báo này quá lạc quan hoặc không chính xác thì sẽ khiến chỉ số NPV sai lệch.
- NPV cũng đòi hỏi tỷ lệ chiết khấu ( r ) phù hợp. Nếu r không phù hợp thì có thể làm giảm và tăng NPV.
- NPV không phản ánh được quy mô dự án vì chỉ cho biết giá trị tuyệt đối tăng thêm mà không cho biết hiệu suất sử dụng vốn.
- Với các dòng tiền không ổn định, chỉ số NPV không phù hợp vì không có sự toàn diện về rủi ro và hiệu quả đầu tư.
- NPV không phản ảnh được tỷ suất lợi nhuận trên số vốn đầu tư, khiến nhà đầu tư cần kết hợp các chỉ số khác như IRR.
Tổng kết:
Đến đây, tin chắc rằng bạn đã hiểu về tầm quan trọng của chỉ số NPV (giá trị hiện tại thuần) với việc đánh giá tiềm năng của dự án đầu tư như thế nào? Nhưng hãy nhớ rằng chỉ số NPV mạnh mẽ nhưng cần phải kết hợp với các nhiều chỉ số khác và các yếu tố khác để đưa ra quyết định đầu tư.
Mong rằng bài viết này đã giúp bạn hiểu rõ về khái niệm, cách tính và áp dụng của chỉ số NPV trong các hoạt động đánh giá khả năng sinh lời của dự án. Cảm ơn các bạn đã đọc đến những dòng chữ này! Trân trọng cảm ơn!


