Quản trị Tài Chính Phân Tích Tài Chính IRR là chỉ số gì? Công thức tính và mối liên hệ...

IRR là chỉ số gì? Công thức tính và mối liên hệ giữa IRR và NPV

IRR (tỷ lệ hoàn vốn nội bộ) là chỉ số quan trọng giúp quyết định xem một dự án đầu tư có đáng với số tiền bỏ ra hay không? Vậy chỉ số IRR được tính như thế nào? Và tại sao nó lại quan trọng đến vậy? Hãy cùng Kế Toán VN khám phá chi tiết qua bài viết này!

1. Chỉ số IRR là gì?

hiểu về chỉ số IRR

IRR là viết tắt của Internal Rate Of Return, có nghĩa là tỷ lệ hoàn vốn nội bộ, đây là chỉ số tài chính quan trọng sử dụng để đánh giá mức độ sinh lời của một dự án đầu tư.

IRR là tỷ lệ chiết khấu mà tại đó giá trị hiện tại ròng (NPV) của dòng tiền tương lai của dự án bằng 0. Nghĩa là, IRR là tỷ lệ lợi nhuận mà một dự án tạo ra trong suốt thời gian thực hiện, dựa trên dòng tiền vào ra từ dự án.

Tại sao IRR lại được gọi là tỷ lệ hoàn vốn “nội bộ”. Thuật ngữ nội bộ ở đây có nghĩa là phép tính này sẽ loại trừ các yếu tố bên ngoài như lạm phát, rủi ro hay chi phí vốn.

IRR có thể được dùng để tính tỷ lệ hoàn vốn trong tương lai hoặc đo lường lợi nhuận thực tế từ một khoản đầu tư trong quá khứ. Hay còn được gọi là tỷ lệ hoàn vốn dòng tiền chiết khấu (DCFROR) hoặc tỷ lệ lợi tức.

Nếu IRR cao hơn tỷ lệ lãi suất yêu cầu (tỷ lệ chiết khấu), thì dự án có thể được xem là có lợi nhuận tiềm năng và xứng đáng để đầu tư.

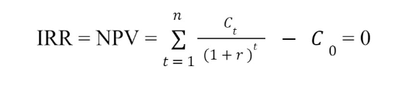
2. Công thức tính IRR

Để tính IRR, ta áp dụng công thức sau:

công thức tính chỉ số IRR

Trong đó:

  • IRR: Tỷ lệ hoàn vốn nội bộ tại thời điểm tính.
  • NPV: Giá trị hiện tại của dòng tiền dự án.
  • Ct: Giá trị hiện tại dòng tiền thu về trong thời gian t.
  • r: Tỷ lệ chiết khấu.
  • t: Thời gian thực hiện dự án / thời gian đầu tư.
  • C0: Chi phí đầu tư ban đầu của nhà đầu tư (t=0).

Theo công thức trên thì IRR là nghiệm của phương trình NPV = 0.

Với công thức trên, nếu:

  • IRR > r: Đáng để đầu tư.
  • IRR = r: Cân nhắc đầu tư hoặc loại bỏ.
  • IRR < r: Không đáng để đầu tư.

Ví dụ thực tế:

Giả sử bạn là một nhà đầu tư và muốn đầu tư vào một dự án. Dự án yêu cầu một khoản chi phí đầu tư ban đầu là 100 triệu đồng. Dự kiến trong 5 năm tiếp theo, dự án sẽ tạo ra dòng tiền vào như sau:

  • Năm 1: 30 triệu đồng
  • Năm 2: 40 triệu đồng
  • Năm 3: 50 triệu đồng
  • Năm 4: 60 triệu đồng
  • Năm 5: 70 triệu đồng

Biết rằng r = 12%. Ta cần xem xét liệu rằng dự án này có đang đầu tư hay không?

Cách tính như sau:

Áp dụng công thức ta có:

ví dụ công thức IRR

Trong đó:

  • C0 = 100 triệu đồng.
  • Ct là dòng tiền thu về trong các năm sau:

Vậy công thức trở thành:

ví dụ áp dụng công thức IRR

Giải nghiệm phương trình trên ta có được kết quả IRR = 18.6% > r (12). Do đó, ta có thể thấy rằng dự án này có tiềm năng để đầu tư.

Mẹo: ta có thể sử dụng hàm IRR() để tính tỷ lệ hoàn vốn nội bộ nhanh chóng trên excel. Ví dụ nhập chi phí đầu tư ban đầu và lợi nhuận thu về các năm lần lượt từ A1 đến A6 thì ta dùng công thức =IRR(A1:A6) để tính giá trị cần tính.

3. Chỉ số IRR phản ánh điều gì?

IRR là chỉ số để đánh giá khả năng sinh lời của một dự án đầu tư. Thực chất, IRR phản ánh mức lợi nhuận tiềm năng mà dự án có thể tạo ra, dựa trên dòng tiền vào và ra trong suốt quá trình đầu tư.

lưu ý về chỉ số IRR

Ý nghĩa của IRR:

  • Khi IRR cao hơn tỷ suất chiết khấu yêu cầu ( r ) cho thấy khả năng sinh lời tốt và đáng đầu tư.
  • Khi IRR thấp hơn hoặc bằng với tỷ suất chiết khấu yêu cầu ( r ) cho thấy dự án không có khả năng tạo ra lợi nhuận đủ bù đắp rủi ro và chi phí ban đầu.

Các nhà đầu tư thường sử dụng chỉ số IRR để:

  • So sánh các dự án đầu tư có sẵn khác nhau để tìm ra dự án có tiềm năng sinh lời tốt nhất.
  • Đánh giá xem mức lợi nhuận có đủ bù đắp rủi ro và chi phí đầu tư của một dự án.

Tuy nhiên, các nhà đầu tư cần phải lưu ý rằng:

  • Mặc dù IRR là chỉ số mạnh mẽ nhưng nó loại bỏ các yếu tố rủi ro bên ngoài nên không phải là điều chắc chắn.
  • Các nhà đầu tư cần sử dụng chỉ số IRR kết hợp với các chỉ số khác như NPV, thời gian hoàn vốn, tỷ suất lợi nhuận trên vốn chủ sở hữu (ROE) để quyết định đầu tư tổng thể.

4. Mối liên hệ giữa IRR và NPV

Hai chỉ số IRR và NPV đều được sử dụng để đánh giá tính khả thi của một dự án. Chúng có mối liên hệ với nhau nhưng cách tính và ý nghĩa lại khác nhau:

Tiêu chí IRR NPV
Định nghĩa Tỷ lệ hoàn vốn nội bộ của dự án. Giá trị hiện tại ròng của dự án, tính bằng tổng các dòng tiền chiết khấu.
Công thức Tính toán tỷ lệ chiết khấu tại đó NPV = 0. Tính tổng giá trị hiện tại của dòng tiền vào và ra từ dự án tại một tỷ lệ chiết khấu cụ thể.
Mục đích Đánh giá mức độ sinh lời tiềm năng của dự án dưới dạng phần trăm. Đo lường giá trị gia tăng từ dự án dựa trên dòng tiền chiết khấu.
Kết quả trả về Tỷ lệ phần trăm, cho biết mức hoàn vốn của dự án Giá trị tuyệt đối, thể hiện số tiền dự án mang lại sau khi trừ chi phí ban đầu.
Yếu tố cần Dòng tiền trong suốt dự án, tỷ lệ chiết khấu yêu cầu Dòng tiền trong suốt dự án, tỷ lệ chiết khấu yêu cầu.
Ứng dụng So sánh các dự án đầu tư và xác định mức sinh lời dự kiến. Đánh giá giá trị thực tế mà dự án có thể tạo ra so với chi phí đầu tư.

5. Nhược điểm của chỉ số IRR

Chỉ số IRR là một chỉ số mạnh để đánh giá và hỗ trợ đầu tư, nhưng các nhà đầu tư, doanh nghiệp cũng cần nắm được các nhược điểm của chỉ số này:

  • Trong các dự án dòng tiền không đều (ra vào không ổn định) có thể có nhiều giá trị IRR hoặc không có giá trị IRR.
  • Dự án có nhiều giai đoạn, mỗi giai đoạn có một dòng tiền khác nhau, chỉ số IRR sẽ gặp khó khi đánh giá tổng thể dự án.
  • IRR không tính đến quy mô của dự án, nếu một dự án có IRR cao nhưng quy mô nhỏ có thể không mang giá trị tuyệt đối tốt hơn dự án có IRR thấp nhưng quy mô lớn.
  • IRR cũng không phản ánh được thời gian dự án. Nếu hai dự án có cùng IRR với nhau nhưng thời gian thực hiện khác nhau thì sẽ tạo ra giá trị khác nhau về lợi nhuận.
  • IRR không tính đến rủi ro thị trường nên thực tế khi dự án thực hiện các yếu tố bên ngoài sẽ tác động làm thay đổi dòng tiền của dự án.
  • IRR cũng không thể phản ánh được mức độ tương tác giữa các dự án nến có nhiều dự án phụ thuộc lẫn nhau.

Kết luận:

Có thể nói rằng, chỉ số IRR cực kỳ mạnh mẽ và hỗ trợ cho nhà đầu tư xác định xem có nên đầu tư vào một dự án hay không? Tuy nhiên, chỉ số IRR cũng có nhiều hạn chế. Do đó, các nhà đầu tư chỉ nên xem IRR là một yếu tố để xem xét trong việc ra quyết định đầu tư.

Mong rằng qua bài viết này, bạn đã nắm rõ được:

  • IRR là chỉ số gì?
  • Cách tính chỉ số IRR
  • Mối liên hệ giữa IRR và NPV
  • Các lưu ý và nhược điểm khi sử dụng chỉ số IRR

Cảm ơn các bạn rất nhiều khi đã theo dõi bài viết đến tận những dòng này!